| 
		 الأكثر تصفحا
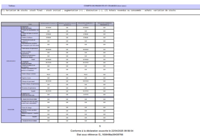
	  | حساب الاستغلال السنوي لشركة BG presse من 2024/01/01 إلى 2024/12/31 (تصدر عنها جريدة حقائق بريس الالكترونية)حقائق  بريس الاثنين 26 مايو 2025 تعليق جديد مقالات ذات صلة 
 أخبار | رياضة | ثقافة | حوارات | تحقيقات | آراء | خدمات | افتتاحية | فيديو | اقتصاد | منوعات | الفضاء المفتوح | بيانات | الإدارة و التحرير | |||||||
|  | ||||||||




 
 
			 





 

 

 

 

 

 

 
				 


 Partager
 Partager